Веб-сервис «Радиопогода»




-
- отображение информации, получаемой со стационарных обнаружителей БПЛА «Алиссум» на карте с привязкой к местности;
- сигнализирование об обнаруженных сигналах цветами, соответствующими типам сигналов (зеленый — Wi-Fi, красный — FPV, желтый — цифровой, голубой — помехи);
- получение сводки обо всех сигналах за конкретный период времени (страница «Журнал»);
- получение краткого отчета о сигналах, получаемых с доступных обнаружителей, за выбранный промежуток времени (страница «Отчет»);
- управление работой доступных обнаружителей. -
Страница «Периметр»
Точка со значком воздушного змея, отображаемая на карте, соответствует конкретному обнаружителю БПЛА. Цветная зона, окружающая точку-обнаружитель, характеризует зону обнаружения сигналов, в которой может отслеживать сигналы данный детектор. Две и более точек могут быть соединены линиями для наглядного отображения периметра обнаружения, в котором действует группа детекторов. Нажатие на точку позволяет просмотреть доступную информацию о названии точки, получаемых ею сигналах, а также получить ссылку для управления доступными детекторами. -
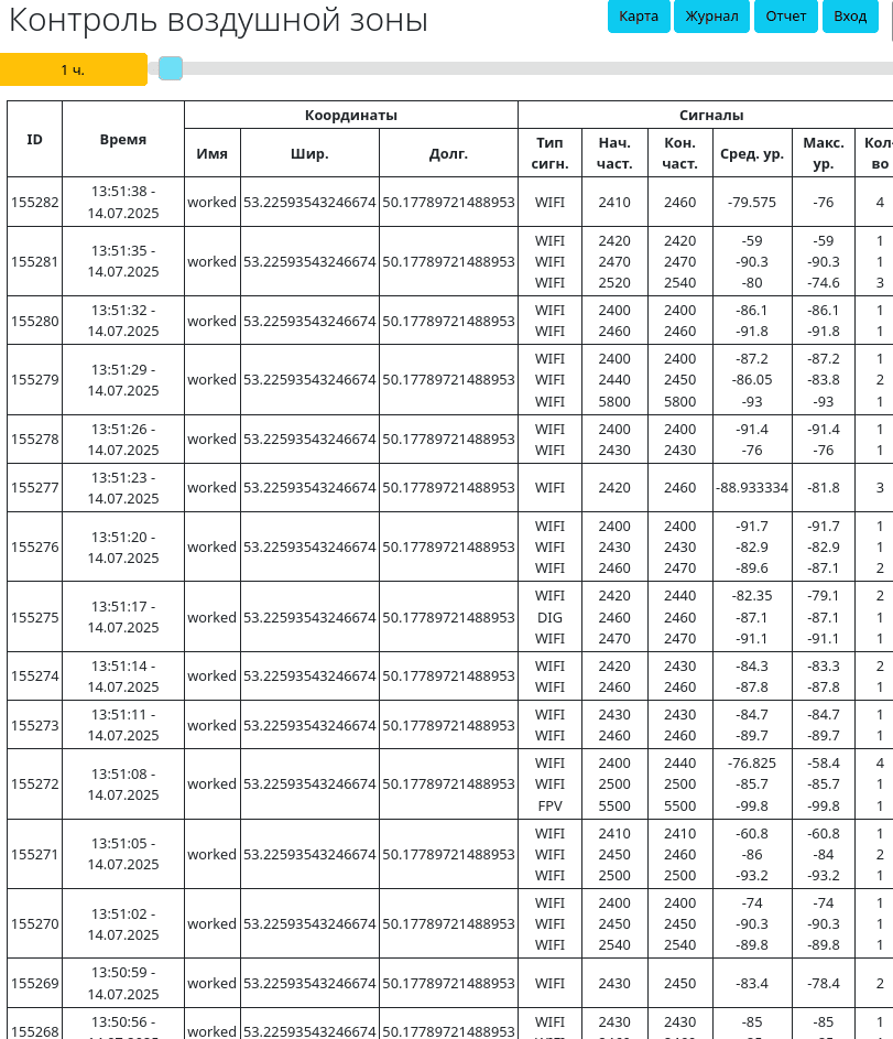
Страница «Журнал»
Для краткой сводки об обнаруженных сигналах за долгий промежуток времени возможно использовать таблицу отчетов. В данной таблице будут отображены диапазоны, средний уровень и количество обнаруженных сигналов каждого типа для всех функционирующих точек-обнаружителей. -
База данных
Для отображения данных на веб-сервисе «Радиопогода» используется Spring-сервис, реализующий доступ к базе данных на удаленном сервере. База данных хранит данные о позиции стационарных обнаружителей, а также обо всех сигналах, получаемых с обнаружителей. -
Авторизация
Система авторизации, реализованная для веб-сервиса «Радиопогода», позволяет управлять правами доступа пользователей. Для настраиваемого решения возможно ограничение прав неавторизованных пользователей на просмотр сервиса. Также предоставляемые авторизацией права позволяют осуществлять доступ к настройке отображения карты и стационарных обнаружителей, а также управлять правами пользователей. -
Интерфейс «Алиссум Веб»
Стационарный обнаружитель БПЛА «Алиссум» может предоставлять доступ к управлению детектором через специальный веб-интерфейс, который представлен на странице «Алиссум Веб» (Управление) веб-сервиса «Радиопогода». Данный интерфейс позволяет просматривать спектры сигналов по частотам в формате истории сигналов и текущей картины спектра. Также с помощью данного интерфейса возможна настройка параметров работы обнаружителя БПЛА.
описание
Веб-сервис «Радиопогода» предназначен для отображения информации, получаемой со стационарных обнаружителей БПЛА «Алиссум», с привязкой к местности. С помощью данного сервиса возможно в режиме реального времени просматривать на карте сигналы, получаемые с детекторов. «Радиопогода» поддерживается специалистами ООО «КВАДРО КОД». Для каждого стационарного обнаружителя БПЛА «Алиссум» возможна индивидуальная настройка сервисов с выбором необходимой конфигурации.
Веб-интерфейс «Алиссум Веб» не требует сетевой настройки, подключение к нему может осуществляться через локальную сеть. Для «Алиссум Веб» доступны следующие функции, которые могут быть настроены и ограничены:
- отображение страницы «Алиссум Веб», на которой представлены спектры сигналов;
- управление детектором через интерактивные элементы на веб-странице;
- отображение сводки об истории сигналов за последнее время в формате таблицы;
- настройка сетевого подключения стационарного обнаружителя.
Также стационарный обнаружитель поддерживает обмен с устройствами сети с использованием REST API, что позволяет осуществить разработку персонального сервиса, реализующего обмен данными с обнаружителем с использованием стандартных библиотек.
Веб-сервис «Радиопогода» может быть использован для отображения данных со стационарного обнаружителя. Для этого требуется осушествить подключение обнаружителя к базе данных сервиса с помощью специалиста, в результате чего станет возможным отображение сигналов стационарного обнаружителя на данной интернет-странице.
Также доступно развертывание веб-сервиса на прочих серверах в формате docker-контейнера. Права на просмотр и редактирование могут быть ограничены с помощью авторизации.